2022G

Jan-Mar

Apr-Jun

Jul-Sep

Oct-Dec

Sekelip Mata

2022G Diary


A Windy, Cloudy Start of 2022 in TRG

Dated 2022 Jan 15 Sat 12 J-Akhir 1443H

Undoubtedly the monsoon cloud was here since the last two final weeks of 2021, it landed after crossing Titiwangsa, down-poured mainly in Selangor, causing an untold menaces, the kind the Kelantanese used to for ages. Next the flooded state was Pahang mid-west. Interestingly in the streams of voluntary helps coming from all directions, the covid was silenced, even though it was still around.

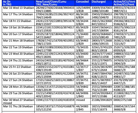
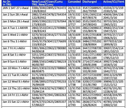
The covid was arbitrarily assigned MCO-F4-01, for 2022, Jan 1-15, topping the previous measures of COVID-MCO-es. It was announced that from Jan 3 Mon, all states were in Phase-4 of the Recovery Plan. Kelantan and Sarawak being the last states to make reaching the level. The current covid-talk in the media was the booster-1. The booster-2 was mentioned, and appearing to end in n-th booster.

Jan 6 Thu 3 J-Akhir 1443H, RUBY 5-beranak arrived from BANGI, and put up in W-Tengah. The house of Tok Jembal was not quite fit to stay, the floor tiles in the dining area had burst, perhaps due to the heat stress, and sudden cold for the past period without inhabitants with all the windows and doors closed. They stayed through out the weekend.

Jan 8 Sat 5 J-Akhir 1443H, another walimah, that of DR JAMIL in Jalan Pusara, KT. It was a belated celebration of the wedding of his daughter. The turning up ex-colleagues were Dr Hasbullah, and mem, Prof Che Abdullah, and mem, Prof Zubaidi, Roslan Arshad, Khairul Akmal, and hubby Suhaili, Prof Manaf, and mem Pof Nash, in that order. No other UNIZA staff were ecountered although the host said he put the mass invitation in the group.

2022 JAN 1 SAT 27 J-Awal 1443H, attended POK SID's walimah at his home in Taman Mutiara-Permata, W-Tengah. It was the resumption of the deferred Dec 11 Sat occasion scheduled in Anees Homestay, Tanjung Gelam. Met ex-colleagues Prof Manaf, Prof Zubaidi, and Prof Shukri, after just missed Prof Che Abdullah, and Dr Abdullah. The weather was a blessing for PokSid. Windy, cloudy, non-rainy, and non-sunny, a good climate for a rendezv.

Weather-wise, as Jan day-ed on, the monsoon subsided, the wind slowed down to normal, and the rain subsided. The sunshine returned, returning the heat. Even some anglers returned to the sea, and home-ed with some catches. But traditionally, the monsoon is over when the chinese new year is over, and the sea will serve the fishermen again.

Jan 13 Thu 10 J-Akhir 1443H, DRV-JERTEH carrying both the mower and the STIHL. A stroll in Pasar Tani Jerteh, and a shock to find the menaces done on the NYIOR in P-Rimau, unsure by the feral, or by the cattle. Ending with just a STIHL-pruning in T-Bugis to those rambutan trees felled sometimes a go.

Jan 15 Sat 12 J-Akhir 1443H, DRVKUL. Sg Merab was in our absence since Dec 28 Tue last year 2021. The whether and traffic were fine, through out. Made a rendz with MUZANI ex-BANGI in CHUKAI toll service then proceeded to MOK CHILI Kemaman for a CHIRO.

Both LPT were rather quiet, including the RR-s along them. Motorists these days preferred to reach the destination in the shortest possible time. Motoring was no longer an amusement. KL was unexpectedly clear for a Saturday evening, especially on MRR2. Except in BTS, the mega-construction was like no end to reach. Sg Besi was quiet with the standing of MRT station which dwarf-ed the congener LRT.



Closing the PAYA DATU CHAPTER

Dated 2022 Jan 31 Mon 28 J-Akhir 1443H

The arbitrarily assigned covid was MCO-F4-02, for 2022 Jan 15-31, topping the previous measures of COVID-MCO-es. The covid talk of the town was die-ing down. The booster was made available in the private practice, and walk-in mode.

Jan 24 Mon 21 J-Akhir 1443H, DRVKUL, but this time by way of Jerteh for a short drop in Padang Luas, then off by Gua Musang. It was raining in Central Pahang. The K Lipis-Raub detour took us quite a delay to reach the Central Spine, still FOC, to join the MTD at Bentong. It was a 12h exact min real time drive. We arrived at Sg Merab at night. Fortunately MRR2 was clear all the way even in the construction-unforgiving BTS.

Jan 16 Sun, MUZANI returned with a catch of a big QUEEN FISH, ikan talang ca 25 kg. And thus in the evening, it was a feast with ank-cu2, missing only ALYA et al in JB, and SB in Ayer Keroh.

2022 Jan 19 Wed 16 J-Akhir 1443H, concluding the Paya Datu Chapter. A 0730 return-hp from Kamal in Tok Jembal, telling the sad news that CHEK had passed on just ca an hr and half ago at Pok Shang house in Tok Jembal. Put up the news in the FAMILIA after NA insisted that we all were going to attend the funeral. All were on the embark-drv, including SB in Ayer Keroh, to rendz with CB in Sg Merab. The task, DRVTGG ASAP. Managed to setoff 0926, in TAV with ASRI accompany-ing. Noted in the w-msg taking off were ALYA et al (0850 ex-JB), SB (0936 ex-Ayer Keroh), ZIDNI et al (1127 at Bentong toll), RUBY et al (1020), MALINI et al (1054), MUZANI et al, and SB-CB (1146). Arriving at the yard (1506), preceded by Ruby, followed by ZIDNI, ALYA, MALINI, MUZANI, SB-CB. And by 1820, all gathered in TOK JEMBAL Home, all 34 pcs of us. All were staying through to Jan 22 Sat, except Malini who returned on Jan 20 Thu.

Ruby Mat

Siti Alyani Mat

While around, ank-cu2 went to hi my sisters. MEK MAZIAH in Petai Bubus, HAH in Kg Batin, and ANI in Pusu Tiga. The first to return home to KUL was Malini et al, Jan 20 Thu. The rest DRV-KUL in a convoy on Jan 22 Sat, Alya was the first heading JB. All accompany-ed three nights of tahlil in Masjid Pantai Tok Jembal, the third on Fri night being on us, except Malini, buy Wed night only.

Jan 28 Fri 25 J-Akhir 1443H, ALYA ET AL returned home from JB to spend the tiger-CNY rather long break together with other adik beradik. SB followed suit, Jan 29 Sat 26 J-Akhir 1443H, thus all thirty-four were in the same vicinity for the rather long week-end break. The first all-gathering was Jan 31 Mon 28 J-Akhir 1443H. On to the second day Feb 1 Tue with children having fun. And at night ALYA et al left for JB.



An Aborted DRVTGG

Dated: 2022 Feb 15 Tue 13 Rejab 1443H

The arbitrarily assigned covid was MCO-F4-03, for 2022 Feb 1-15, topping the previous measures of COVID-MCO-es. The covid talk of the town had died down even though the new positives were glaringly souring in five folds. The booster was made available in the private practice, and walk-in mode. The vitriolic local OLMK newspaper currently trained the guns aiming at PRN JOHOR, scheduled Mar 12 Sat 9 Shakban 1443H.

Feb 5 Sat 3 Rejab 1443H, Visiting NASHRUL QURAN in nearby Precint Diplomatik. It is essentially a printing house, specific for the Q, a private institution just like any other publishers. The major difference being the uptodate highly sponsored modern machinery and thus cleaner floor.

Feb 7 Mon 5 Rejab 1443H, noted MUZANI started his work as GM of PPN N9. It was essentially a promotion to add to his experience, being number-1 of a state.

FEB 1 TUE 29 J-Akhir 1443H, ank-cu2 gathered for the 2-nd day. While the kids were having fun among themselves, ank2 made a major audit in the U-STORE. However, much were about finding-ing the nostalgic-child-kiddy things. NA sieved the things that could be discarded. Initially RUBY was in the store, then taken over by Muzani. A BBQ in the evening. While ALYA et al conceded to JB at night, Ruby et al, Muzani et al overnight-ed in Sg Merab. That was after successfully img-ing all-present 34 pcs of us. The last such all-present gathering was in 2017 Feb, the wedding of ALYA, we were then only 27 pcs. Today gathering ended Feb 2 Wed. SB returned to Ayer Keroh Feb 3 THU 1 REJAB. Every one noted that Ramadan 1443H was exactly in two months time, Apr 3 Sun.

Feb 9 Wed 7 Rejab 1443H, another get together, in rumah POKJO Sect-3. It was to host ANI ET AL ex-TRG to send off NABILA to KLIA en route to BRISBANE, OSSI for a degree study. Ruby et al, Malini et al sans Hanif, Zidni sans et al, Muzani et al, and my 4-beranak, sans SB, joined. Notably, sans Alya et al. Num-Nadia were also in. ANI et al, and PokJo continued the next day Thu afternoon in Sg Merab joined by Malini 3-beranak, Niza et ank2, and Ruby's 3-girls, before driving off back to TRG.

Feb 12 Sat 10 Rejab 1443H, SB returned for the home-weekend, for two nights, with a trip to LOYAT 3-beradik on Sun.

Feb 15 Tue 13 Rejab 1443H, DRVTGG in TAV 3-beranak with ASRI, but u-turned at Sg Besi L/MRT. The drv was aborted because TAV developed a non-engagement gear. On re-arrived at home after an hr departed, it was noted that the gearbox was dry, no oil at al. When later in the afternoon, the box was topap-ed with 2-Lit oil, the gear shift re-function, but the DRVTGG was deferred a day, and not in TAV which had to be closely examined before taking to a long distance drv again.



A BKD-ing DRVTGG, Wathiqullah was Born, and a Torrent

Dated: 2022 Feb 28 Mon 26 Rejab 1443H

The arbitrarily assigned covid was MCO-F4-04, for 2022 Feb 16-28, topping the previous measures of COVID-MCO-es. The covid talk of the town re-appeared with the new cases had soared more than six folds from ca 5k to more than 30k in two weeks. The deja vu bullets were reloaded by the OLMK gunners. The "letak jawatan". The PRN Johor was less than 4 weeks away, Mar 12 Sat. Interestingly, the positives during this period were among children.

A very strong monsoonic wind was blowing from the night of Feb 23 Wed. The next day Thu, the rain was just sporadic, but the wind was accelerating up. Fri, the day turned dark, very strong wind, felling some branches, the sea was dangerously choppy, the waves relentlessly pounding the beach, and at night, the pour, all night. Sat morning, the scenery changed into the field of water, and the rain was getting heavier, pouring like the sky was falling. All rivers and streams, and lowlands had swollen beyond the banks. In W-Tengah the swollen drain had reached a few inches on the floor of g-floor. Sat was the day of agony. A DRV-SETIU was all in the rain, to-and-fro, and while having the feast of aqiqah of Nasaee's #1daughter. People initially endured the torrent, but expecting a couple of days 'harmlessly'. Feb 27 Sun, the wind died, the rain subsided a lot, but the hinter-rain water reached the residential areas downstream. K Berang was hit by a severe flood, like that in Klang Valley, last year 2021 Dec. Some houses were sunken, leaving only the roof. All TRG hinterland, including in Kemaman, and Dungun, were flooded. Rescue operations were broadcasted in the media.

Feb 28 Mon started with a calm morning, the clouds were thinning. Some blue background of the sky were appearing. But from the sea, some rains were still expected. Nonetheless, the day proceeded with sunshine, the sky was blue-er, and the sea was a lot tame-er. The rain was practically subsided. The fishermen was always predicting right, Mar would settle the torrent of Feb.

Feb 16 Wed 14 Rejab 1443H, the re-DRVTGG, 3-beranak with NA and ASRI, and in CB's BKD. TAV was in Sg Merab, to be fully examined when we return, before taking to a long distance drv again. Traffic, and weather were were on our side. In TRG it was cloudy. Signs of abundant water were that it had been raining quite a lot for the past several days. Many part the road sides were wet.

While in TRG, ASRI was occupy-ed with h-ware works. Feb 17 Thu, in Tok Jembal, fixing the back door, which sagged since fitted. It was a great help in W-Tengah with tending the plants against the feral. The most was accompany-ing attending TRG BAR annual dinner Feb 18 Fri in QUINARA, Tok Jembal. And eventually, MH-ed home, Feb 20 Sun 18 Rejab 1443H.



Johor PRN-15

Dated: 2022 Mar 15 Mon 26 Rejab 1443H

The arbitrarily assigned covid was MCO-F4-05, for 2022 Mar 1-15, topping the previous measures of COVID-MCO-es. Johor PRN on coming Mar 12 Sat appeared to have overcome the Covid scare. Weather-wise, normalcy had almost fully restored. Slow parading clouds from the sea inland-ward, revealing the background blue sky. In the distant over the sea, the sky line was clearly visible seaming with the horizon. The waves arriving on the beach was a lot tame-er. Nonetheless the kembong would land again perhaps by Mar 6 Sun.

Mar 5 Sat 2 Shakban 1443H, Another DRV-JERTEH. Attending the walimah in POK WONG. The drv was in the rain to-and-fro. And perhaps that was the shortest stay in Jerteh, ca 1 hr.

Mar 12 Sat 9 Shakban 1443H, was the Johor 15th PRN. It came about just like in Melaka last year 2021 Nov 20 Sat, the deswelling number of very small majority. When the poll station closed the turn out was reported as just over 50%. Results started to come out from ca 1930. BN was leading, and roaring into a landslide majority. By 2100, it was unofficially clear that BN won a supermajority of more than 2/3. Apparently most rakyat went to bed early that night, and slept well.

MAR 1 TUE 27 Rejab 1443H, Din Abg Ra et al were visiting us in W-Tengah while on their balik-kampong TRG from KL. Din's father, the late Abg Ra was my eldest sibling, my mother's #1son, and my father's #2son. Abg Ra, in his young days, took a great care of our younger siblings during their growing up years, especially during our hardest time in the late 60-s when I started being away in the distant school. My brother and I share a lot of family experiences and anecdotes that the younger siblings were too young, and did not know, just like my father and his elder siblings were, as narrated by my mother.

Mar 3 Thu 29 Rejab 1443H, DRV-JERTEH. First stop was P-RIMAU. Noted not so much menaces as before. A NYIOR, ex-Nordin, may survived. But the KELAT grew healthily with buds to propagate. NA made a bon fire, to mark the site for a durian. Next stop was T-BUGIS. Similarly un-menaced, and un-attended. A quick up-look against the sky, noted a durian tree had born BUDS OF FLOWER. It was zohor time. Decided just to prune the felled rambutan trees during last few visit. Popped-in Padang Luas before drv homeward, and as always arrived home just before isyak, in the rain from just before Jabi to Merang.

In the while in BANGI, Mar 5 Sat, there were two similar invitation of weddings. One in Sg Merab across the padang, that of ADNAN OMAR CG FARIDAH. ASRI hp-ed that he and CB attended the walimah. MALINI should have attended, but she et al were in YAN Kedah for Hanif's family. The other was in Bangi GATEWAY, that of MASRUR-ANJANG, the next-neighbour during Jln 1/3C BBB. RUBI-EDI w-msg-ed that they attended the walimah, and met many of my old friends, mostly x-UKM.

Mar 8 Tue 5 Shakban 1443H, DRVKUL, in BKD. TRG as we were leaving was getting sunnier, breezy instead of windy. The sea was much calmer, and in fact some fishermen had went out to the sea. The weather was very fine in LPT2 and LPT1, beautiful sky. But KL was wet. MRR2 when we arrived was under the black cloud, it poured down at FLAMINGO. Nonetheless Sg Merab was not raining even though the sky was so black-cloud-loaded.

Mar 10 Thu 7 Shakban 1443H, ALYA-3-BERANAK, returned for the home-weekend. And as always that's meant a gathering among ank-cu2, including SB from AYER KEROH, who returned on Mar 11 Fri night. Mar 12 Sat 9 Shakban 1443H, the KEK DAY, for the Feb-Mar B-Day, including NA's belated from Mar 6 Sun. It was made in the morning. In the while 3-beranak with NA and ASRI, went to two walimah-s, one in Puchong Dewan Serbaguna MBSJ, PU-7, of NA's Jerteh relative, and the other in Keramat Glass Hall, of NA's MU-mate. Alya-3-beranak left for JB by the late afternoon, bye-ed by Ruby, Malini, Zidni, et al, with CB-ASRI accompany-ing, and to stay in JB for a few days to help Farhan getting around with DIY of the shop renovation after he accidentally got a cut on a finger by a grinder. SB stayed on through the weekend, he left for AYER KEROH, Mar 14 Mon.

Alya commn-ed that CB, ASRI were fine in PULAI MUTIARA, JB, helping in the DIY of the eatery. However, Mar 13 Sun ALYA w-msg-ed that Farhan's mama was +ve, in a home-test prior to her routine check-up. But Alya said a repeat test was with the reverse result. Mar 14 Mon, SB drove off back to AYER KEROH, and on check-ing in his office he was told that he was a kontek-rapat to a +ve colleague during his pre-drv-SgMerab last Fri night. Mar 15 Tue, the first thing in the morning SB was arranged by the Company for a PCR. And by ca 4 pm, he w-msg-ed the results he got. +VE, which means that the whole family in principle were kontek-rapat, except Muzani et al. Since the gathering on Sat, all of us had been to every where, including to two walimah. In the FAMILIA, Mar 15 was full of msg of managing the infectivity. Ruby made the first test, and was -ve. That was the first good sign since she was among the closest to SB in the weekend gathering.



Romancing the Kits, the Curse of the Makhlok

Dated: 2022 Mar 31 Thu 28 Shakban 1443H

The arbitrarily assigned covid was MCO-F4-06, for 2022 Mar 16-31, topping the previous measures of COVID-MCO-es. This was the last instalment of PANDEMIC QUANTUM. Beginning APR, Covid was to be an ENDEMIC mode. Johor PRN Mar 12 Sat went by as expected by both sides, and both sides reacted as expected. The winner on one side, the looser on the other, as anticipated, check-mate-ing the game.

Mar 25 Fri 22 Shakban 1443H, NA's kit in the morning still returned a double. And in the afternoon, ASRI's too. Nevertheless all three of us were getting better.

Mar 26 Sat 23 Shakban 1443H, SB returned home for the weekend, he's been PCR-cleared for the past four days. He had two walimah to attend, one on PJ and the other in Ahah Alam.

Mar 27 Sun 24 Shakban 1443H, every one embarkd on the kit-test. And expectedly all the kits responded with a single band.

Mar 28 Mon 25 Shakban 1443H, SB returned to AYER KEROH in the morning. And we made a DRVTGG, bye-ing CB and ASRI, targeting to be back in Sg Merab for the first Ramadan. Traffic, and weather were excellent. Nonetheless we exited LPT2 at BKT BESI toll, took the local route through Dendang, Vet Cermin Kiri, Mardi Jerangau. And at BKT KOLAM, singgah for a BAUNG TREAT. And resumed on the LPT2 at Ajil toll. We made it at home in W-Tengah before asar. Noted the dry-ness around the house. Judging by the soil, it had not been raining for many days already. A quick glance at the drowned BETIK, both appeared survived, but in dry soil already.

Mar 30 Wed 27 Shakban 1443H, DRV-JERTEH. Singgah P-Panjang, seeing the orchard while NA seeing Hashir and his new-born son. On to T-BUGIS, noting that this year durian would not be plentiful. On to Jerteh town for some sundries. And a drop in P-RIMAU to have a look. Noted the KELAT was bearing the fruit. Singgah the neboring SURAU, for the first time.

And finally a visit to DR HASBULLAH in Alor Lintang. After a nostalgic reminiscence of PhD time, and career development stages we drove off homeward via Tembila. A few min after Beting Lentang, a min after the Besut-Setiu border, a big black wild BOAR running from the right side crossing the road at a wild speed HIT the right front of TAV. The impact gave a loud bang-sound. I managed TAV to a slow down and stopped by the road side. NA and I were unharmed at all. The damage of TAV was severe. The frontal was fully wracked leaving only the left main light. The front bumper was swifted to below the car, dragging it all to way. It took a while to remove the bumper from below the car and put in the back seat. The radiator was dripping, but the engine was running fine, and the aircond was functioning well too. TWO lady-motorists stopped to give the help. NA managed to contact A-PAR in Banggol Setiu. Since the car could slowly be driven, we decided to take it to Banggol Setiu, and to settle the next day for the recovery. TAV finally arrived in Banggol Setiu after three times stopping to top-up the radiator. It spent the night safely while A-Par took us back to W-Tengah in his BRV, arriving ca 10-30. It was an adventure, allbeit, we had a good night sleep.

Mar 31 Thu, the last day of Mar, we spent sorting the welfare of TAV. Takaful Malaysia was contacted and she instructed to have a police report. The panel w-shop was contacted. The KEONG in CENERING. Takaful said a loader would be sent to take TAV in Banggol Setiu to the w-shop in Cenering. Nissan took us to Setiu IPD for the report, then rendz-ed with the loader in Banggol Setiu. We drove back to W-Tengah for wash, then made a southern drive to Cenering to the w-shop. An insurance claim was filed. By ca 4-30 we bye-ed TAV hoping all were well undertaken.

Mar 16 Wed 13 Shakban 1443H, first thing in the morning, was occupied with romancing the self-testing kits. All were returned fine. SB in Ayer Keroh however was reporeted as a kontek rapat to a positive colleague, he had to go through some official steps including PCR. In the afternoon, CB-ASRI returned from JB after four nights of stay with ALYA et al since Mar 12 Sat. And both quickly settled down.

An un-anticipated development took place Mar 20 Sun 17 Shakban 1443H. ASRI had been having a running nose for a couple of days already. I had a very strong fever with indication that the BP was high. And it was. In the evening when NA said she had perit-perit tekak to swallow, the kit was romanced, by both NA and ASRI, and both with double-band results. Gave the bed to NA. Mar 21 Mon, observing the development. The fever subsided, BP lowered after a Co-Apro.

Mar 22 Tue, the KIT returned a double band result. However, CB stayed single. NA and ASRI skipped the KIT, assuming unchanged double band from yesterday. With that life was in Q-tin, un-matter how many days, until the kit return a single band again.

Homeward, singgah RAHSIA for a refreshment, and a company of DR ABDULLAH. Indeed Mar end was nostalgically adventurous.



2022G

Jan-Mar

Apr-Jun

Jul-Sep

Oct-Dec

Sekelip Mata

2022G Diary