STKK 6122 - Sistem Makromolekul

Pautan ke Sinopsis Kursus


Kuliah 6 - Sifat Koligatif Larutan

 

Sifat koligatif adalah sifat-sifat larutan yang nilainya bergantung cuma kepada bilangan zarah, tidak kepada tabii kimia zarah, di dalam larutan. Tiga yang utama ialah penurunan takat beku, penaikan takat didih, dan tekanan osmosis. Contohnya, larutan 0.01 mol kg-1 sebarang bukan elektrolit dalam air mempunyai takat didih, takat beku dan tekanan osmosis yang sama. Kesemua sifat-sifat ini boleh dikaitkan akhirnya dengan penurunan tekanan wap.

 

Penurunan Takat Beku

Korelasi yang paling berkesan untuk dilihat adalah korelasi termodinamik antara takat beku pelarut dengan kuantiti bahan larut. Pada takat beku, bagi pelarut tulen, keseimbangan adalah di antara pelarut cecair tulen dengan pelarut pepejal tulen. Bagi larutan, keseimbangan adalah di antara cecair pelarut dalam larutan dengan pelarut pepejal tulen. Kedua-dua proses ini berlaku pada suhu malar (pada takat lebur masing-masing). Oleh yang demikian, pada takat beku, keupayaan kimia pelarut adalah:

µ1L(T, P, x) = µ1P(T, P)

Di dalam larutan keupayaan kimia pelarut adalah

µ1L(T, P, x) = µ1C(T, P) + RTlnx1

Dengan demikian,

µ1C(T, P) + RTlnx1 = µ1P(T, P)

Maka,

Sebutan [µ1P(T, P) - µ1C(T, P)] adalah perubahan tenaga bebas Gibbs bagi perubahan fasa pelarut tulen, daripada cecair kepada pepejal, DGf, dan bertanda negatif kerana tenaga tersebut dibebaskan oleh sistem. Dengan itu,

Kerbedaan terhadap T, pada tekanan malar menghasilkan

Mengaplikasikan persamaan Gibbs-Helmholtz ,

Kamiran daripada x1 = 1 pada Tfo (takat beku pelarut tulen) kepada x1 pecahan mol pelarut di dalam larutan pada takat beku T menghasilkan

Kepekatan lebih kerap diungkap sebagai amaun bahan larut, dengan x1 = 1 - x2, sehingga,

Kembangan algebra sebutan,

ln(1 - x2) = -x2 - ½x22 - 1/3x23 - ... » -x2

dan DT = Tfo - T, serta TTfo » (Tfo)2, maka,

atau

Amaun bahan larut x2 boleh diungkapkan dalam pelbagai bentuk lain yang lebih praktikal. Satu daripadanya ialah secara kemolalan, m2.

Daripada x2 = n2/(n1 + n2) » n2/n1 (bagi larutan cair),

dan jika M1 adalah jisim molar plarut, maka jisimnya dalam larutan adalah n1M1.

Jadi kemolalan,

m2 = n2/n1M1 » x2/M1; x2 » m2M1

Penyusunan semula, dan menmbahkan sub-o dan sup-o untuk merujuk kepada pelarut tulen, maka persamaan akhir yang diperoleh adalah

dengan

Pemalar Kf disebut pemalar krioskopi.

 

Penaikan Takat Didih

Kesan kehadiran bahan larut di dalam larutan terhadap takat didih adalah serupa, iaitu menaikkan takat didih.

Keseimbangan yang terlibat adalah di antara larutan dengan wap. Dari segi keupayaan kimia pelarut, m1, keseimbangan adalah:

µ1L(T, P, x) = µ1w(T, P)

Pengolahan yang serupa seperti dalam hal penurunan takat beku menghasilkan:

dengan dan dinamakan sebagai pemalar ebulioskopi.

Cth 12.10 [Hlm 489]

Satu sebatian berformula empirik C5H4. Larutan 7.85 g sebatian tersebut di dalam 301 g benzena menghasilkan perbezaan takat beku larutan-pelarut sebanyak 1.05°C. Hitung jisim molekul dan formula molekul sebatian ini.

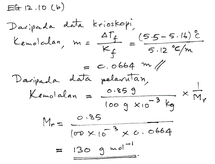
Larutan 0.85 g satu sebatian organik di dalam 100 g benzena membeku pada suhu 5.16°C; benzena tulen membeku pada suhu 5.5°C. Tentukan kemolalan dan jisim molekul sebatian tersebut.

Cth 12.11 [Hlm 489]

Satu larutan disediakan dengan melarutkan 35.0 g hemoglobin (Hb) di dalam air sehingga isipadu larutan menjadi 1 L. Tekanan osmosis larutan ini pada suhu 25°C ialah 10 mmHg. Hitung jisim molekul hemoglobin.

 

Tekanan Osmosis

Dua larutan yang sama kepekatannya dikatakan berada dalam keadaan ISOTONIK. Bagi larutan yang tidak isotonik, larutan yang lebih cair dinamakan larutan HIPOTONIK, dan larutan yang lebih pekat dinamakan larutan HIPERTONIK. Dalam kebanyakan eksperimen tekanan osmosis diperoleh sebagai "tinggi turus larutan". Ini sebenarnya adalah unit relatif sahaja. Semasa osmosis, zarah pelarut bergerak dari fasa pelarut ke fasa larutan melalui membran separa telap. Membran berkenaan menahan (sifat membran) pergerakan zarah bahan larut ke arah yang berlawanan.

Dari segi keupayaan kimia pelarut, µ1, keseimbangan yang terlibat adalah:

µ1L(T, P+p, x1) = µ1C(T, P)

Menggantikan sebutan yang bergantung kepada pecahan mol,

µ1L(T, P+p) + RTlnx1 = µ1C(T, P)

Penyusunan semula,

µ1L(T, P+p) - µ1C(T, P) + RTlnx1) = 0

Menggunakan persamaan Maxwell, (G/P)T,nj = V1, dan daripada takrifan tenaga Gibbs separa molar, G1 = µ1, maka bagi pelarut,

1o = V1o

V1o adalah isipadu separa molar pelarut tulen.

Oleh yang demikian sebutan , menjadikan,

Dengan anggapan isipadu larutan tidak begantung kepada tekanan, kamiran terhadap dP menghasilkan

pV1o + RTlnx1 = 0; atau p = -RTlnx1/V1o

Dalam sebutan kuantiti bahan larut, x2

lnx1 = ln(1 - x2) = -x2 - ½x22 - 1/3x23 - ... » -x2 = -n2/(n1 + n2) » -n2/n1

Maka,

Sumbangan isipadu bahan larut V2 adalah sangat kecil bagi larutan cair, oleh itu isipadu larutan V = n1V1o

Persamaan tekanan osmosis sekarang menjadi

p = n2RT/V

yang boleh dituliskan sebagai p = cRT dengan c = n2/V yang diungkapkan dlam unit "mol isipadu-1". Persamaan ini dikenali sebagai persamaan Van't Hoff.

 

Dalam kebanyakan eksperimen tekanan osmosis diperoleh sebagai "tinggi turus larutan". Ini sebenarnya adalah unit relatif sahaja.

Unit (SI) tekanan adalah Pa (Nm-2), oleh itu dalam persamaan tekanan osmosis, unit relatif tersebut perlulah ditukarkan kepada unit mutlak.

Misalkan tekanan osmosis dinyatakan sebagai "h cm larutan", dengan ketumpatan larutan tersebut adalah d gcm-3. Misalkan luas keratan rentas turus adalah A cm2. [Pecutan graviti setempat ialah G ms-2.

Isipadu turus = (A cm2) × (h cm) = A h cm3

Jisim turus larutan = (d g cm-3) × (A h cm3) = d A h g = d A h × 10-3 kg

Daya yang bertindak ke atas larutan oleh turus larutan ialah:

= jisim × pecutan graviti = (d A h × 10-3 kg) × (G ms-2) = d A h G × 10-3 N

Dengan demikian,

 

Contoh-contoh [berdasarkan cth 12.9 hlm 488]

1. Tekanan osmosis air laut adalah 30 atm pada suhu 25°C. Berapakah tekanan ini dalam sebutan tinggi turus air, jika eksperimen osmosis dilakukan di dalam makmal? [Anggap ketumpatan air d = 1 g cm-3; pecutan graviti, G = 10 ms-2].

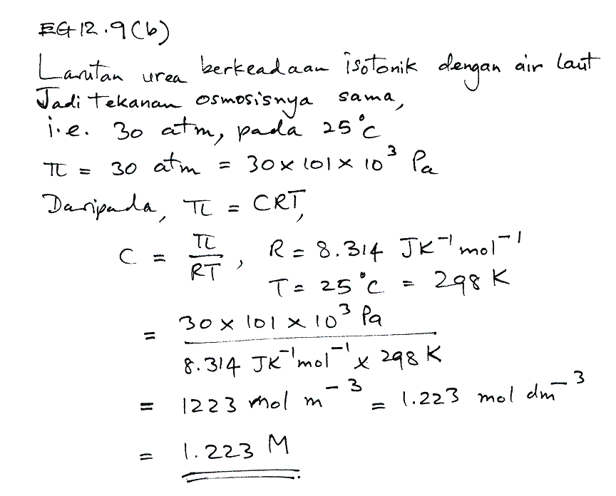
2. Hitung kepekatan larutan urea, (NH2)2CO, yang isotonik dengan air laut, dalam contoh 2.

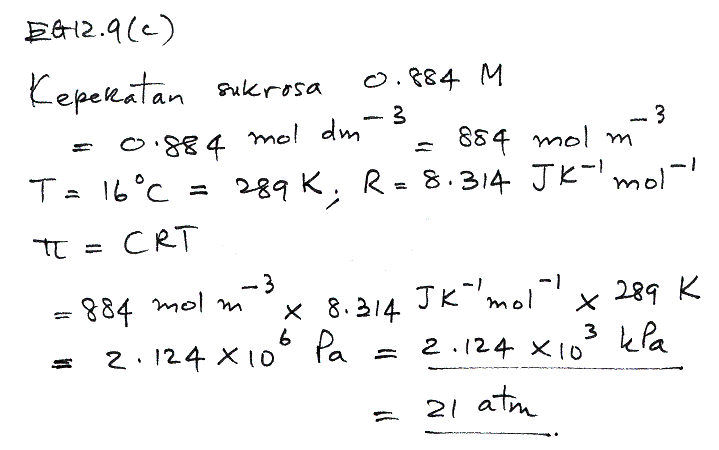
3. Berapakah tekanan osmosis larutan sukrosa 0.884 M pada suhu 16°C?

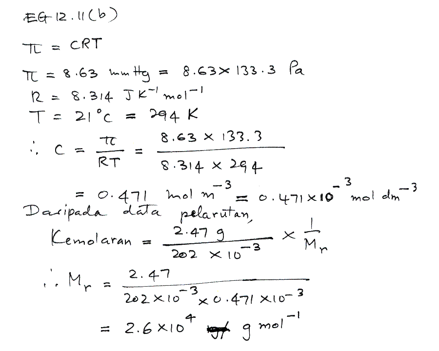
4. 202 mL larutan benzena yang mengandungi 2.47 g polimer organik mempunyai tekanan osmosis 8.63 mmHg pada suhu 21°C. Hitung jisim molekul polimer tersebut.

 

Beberapa aplikasi osmosis

1 Hemolisis. Analisis sel darah. Dalam darah, plasma mempunyai kepekatan bahan larut yang sedemikian sehingga larutan ini berisotonik dengan cecair di dalam sel darah. Apabila darah dimasukkan ke dalam larutan hipotonik, osmosis berlaku. Air akan memasuki sel darah, kerana dinding sel darah adalah membran separa telap. Sel darah menjadi kembung, akhirnya pecah, menghamburkan keluar bahan-bahan di dalamnya. Dengan cara ini ahli biokimia dapat mengkaji isi sel darah, misalnya hemoglobin.

2 Pokok yang tinggi, ada yang puluhan meter tingginya, perlukan kaedah tertentu untuk mengangkut air dari akar ke daun. Tindakan kapilari cuma boleh mengangkat air beberapa cm sahaja. Kaedah ini adalah osmosis.

3 Pengawetan makanan dengan penambahan garam atau gula. Penambahan garam atau gula menjadikan persekitaran hipertonik terhadap sel bakteria. Osmosis berlaku, air di dalam sel bakteria keluar ke persekitaran. Sel menjadi kecut, dan dengan demikian tidak berfungsi. Proses ini dikenali sebagai crenation.